1. Tìm hiểu về hoạt chất Cartap Hydrochloride và Thiosultap Sodium
Trong lĩnh vực bảo vệ thực vật, việc kiểm soát sâu hại luôn là mối quan tâm hàng đầu của bà con nông dân.
Hai hoạt chất Cartap Hydrochloride và Thiosultap Sodium (Nereistoxin) được xem là những “vũ khí sinh học” tiên tiến, giúp tiêu diệt nhiều nhóm sâu miệng nhai, miệng chích hút hiệu quả và an toàn hơn so với các nhóm thuốc cổ điển.
1.1. Hoạt chất Cartap Hydrochloride
Cartap Hydrochloride là một hoạt chất trừ sâu thuộc nhóm Nereistoxin, có dạng tinh thể trắng hoặc vàng nhạt, ít mùi, tan nhẹ trong nước. Đây là hoạt chất có phổ diệt trừ rộng, được sử dụng phổ biến trong phòng trừ các loại sâu hại trên lúa, rau màu, chè, bắp, cây ăn trái…
Đặc điểm nổi bật:
-
Lưu dẫn mạnh: Thấm sâu vào mô cây, tiêu diệt cả sâu ẩn trong bẹ, thân hoặc cuốn lá.
-
Phổ tác dụng rộng: Hiệu quả với sâu cuốn lá, sâu đục thân, sâu tơ, rầy nâu, bọ trĩ…
-
Hiệu lực kéo dài: Bảo vệ cây trồng nhiều ngày sau khi phun.
-
Độ độc thấp: An toàn hơn cho người, vật nuôi và môi trường so với nhiều hoạt chất cũ.
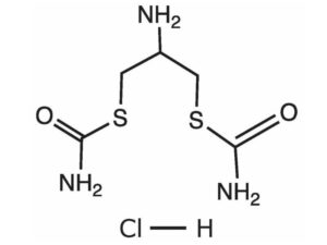
Công thức hóa học: C₇H₁₅N₃O₂S₃·HCl
Nhóm hoạt chất: Nereistoxin

1.2. Hoạt chất Thiosultap Sodium
Thiosultap Sodium cũng thuộc nhóm Nereistoxin, là thế hệ hoạt chất mới hơn của Cartap, có khả năng tác động mạnh và nhanh hơn, đồng thời khắc phục phần nào tình trạng kháng thuốc của sâu hại.
Dạng bột tinh thể trắng, tan tốt trong nước và ổn định trong điều kiện bảo quản thông thường.
Đặc điểm nổi bật:
-
Hiệu lực mạnh, tác dụng nhanh: Sâu ngừng ăn gần như ngay lập tức.
-
Phổ tác dụng rộng: Kiểm soát hiệu quả rầy nâu, sâu cuốn lá, sâu đục thân, sâu tơ, bọ trĩ, sâu keo mùa thu…
-
Khả năng phối hợp tốt: Dễ pha trộn với các hoạt chất như Emamectin, Cartap, Abamectin… để tăng hiệu quả và hạn chế kháng thuốc.
-
An toàn tương đối: Ít ảnh hưởng đến thiên địch và môi trường.
Công thức hóa học: C₆H₁₂NO₄S₄Na
Nhóm hoạt chất: Nereistoxin

2. Cơ chế hoạt động
2.1. Đặc điểm chung
Hoạt chất Cartap Hydrochloride và Thiosultap Sodium (hay còn gọi là Nereistoxin) đều thuộc nhóm Nereistoxin Analog – một nhóm thuốc trừ sâu có cơ chế tác động lên hệ thần kinh trung ương của côn trùng, nhưng khác với nhóm lân hữu cơ hay cúc tổng hợp, chúng không gây kích thích mà ức chế hoàn toàn quá trình dẫn truyền xung thần kinh, khiến sâu bị tê liệt và chết dần.
Hai hoạt chất này có thể thấm sâu vào mô cây, lưu dẫn mạnh và tác động qua cả ba con đường:
-
Tiếp xúc: khi sâu chạm phải thuốc trên bề mặt lá.
-
Vị độc: khi sâu ăn lá hoặc chồi đã xử lý thuốc.
-
Xông hơi nhẹ: hơi thuốc xâm nhập qua hệ hô hấp, tăng hiệu quả diệt trừ.
2.2 Cơ chế tác động cụ thể
a. Hoạt chất Cartap Hydrochloride
Cartap là tiền chất (pro-insecticide) của Nereistoxin. Sau khi vào cơ thể sâu, nó chuyển hóa thành Nereistoxin hoạt động, rồi gắn vào các receptor nicotinic acetylcholine trong tế bào thần kinh.
-
Bình thường, acetylcholine là chất trung gian truyền tín hiệu giữa các tế bào thần kinh.
-
Khi Cartap gắn vào receptor này, nó ngăn acetylcholine hoạt động, khiến tín hiệu thần kinh không truyền được.
-
Hậu quả: sâu mất khả năng vận động, ngừng ăn, co giật nhẹ rồi tê liệt hoàn toàn.
Điểm đặc biệt là Cartap thấm sâu nhanh, ít bị rửa trôi, hiệu lực kéo dài từ 7–10 ngày. Nhờ đó, cây trồng được bảo vệ liên tục kể cả khi có mưa nhỏ.

b. Hoạt chất Thiosultap Sodium
Thiosultap Sodium là dạng muối hòa tan của Nereistoxin, có phổ tác động rộng và hiệu quả mạnh ở cả giai đoạn trứng, sâu non và sâu trưởng thành.
Hoạt chất này phong tỏa đường dẫn truyền thần kinh của sâu, khiến toàn bộ cơ thể sâu rơi vào trạng thái “tê liệt chức năng”:
-
Hệ thần kinh ngừng phản xạ.
-
Hệ tiêu hóa ngừng hoạt động, sâu ngừng ăn ngay sau khi trúng thuốc.
-
Sâu chết sau 1–2 ngày do suy kiệt năng lượng và mất khả năng hô hấp.
Thiosultap Sodium còn có khả năng kích hoạt cơ chế lưu dẫn mạnh mẽ trong mô lá, giúp bảo vệ cả phần lá non mọc sau khi phun thuốc.

2.3. Ưu điểm cơ chế kép
Khi kết hợp hai hoạt chất này, cây trồng được bảo vệ toàn diện:
-
Cartap Hydrochloride: diệt nhanh, mạnh, tác động sâu.
-
Thiosultap Sodium: kéo dài thời gian bảo vệ, diệt cả giai đoạn trứng – sâu non – sâu trưởng thành.
Hiệu quả phối hợp giúp cắt đứt hoàn toàn vòng đời sâu hại, hạn chế tái phát, đồng thời giảm hiện tượng kháng thuốc thường thấy ở các nhóm hóa chất cũ.
3. Công dụng vượt trội của hoạt chất Cartap Hydrochloride và Thiosultap Sodium
3.1. Phổ tác động rộng
Cả hai hoạt chất đều có phổ tác động cực rộng, diệt được nhiều nhóm sâu hại trên đa dạng cây trồng:
-
Cây lúa: sâu cuốn lá, sâu đục thân, rầy nâu, bọ trĩ, bọ xít.
-
Cây ăn trái (sầu riêng, cam, xoài, nhãn, bưởi): sâu đục trái, rệp sáp, bọ trĩ, sâu vẽ bùa, rầy mềm.
-
Cây rau màu: sâu xanh, sâu khoang, sâu tơ, sâu đục quả, bọ nhảy, rệp muội.
-
Cây công nghiệp (cà phê, hồ tiêu, cao su): rệp sáp, bọ xít muỗi, sâu đục cành.

3.2. Hiệu lực nhanh – kéo dài
-
Sau khi phun 2–3 giờ, sâu ngừng ăn ngay lập tức, hạn chế thiệt hại do cắn phá.
-
Sau 12–24 giờ, sâu bị tê liệt hoàn toàn, không còn khả năng di chuyển hay sinh sản.
-
Hiệu lực kéo dài từ 7–10 ngày, bảo vệ cả phần lá non mới ra nhờ khả năng lưu dẫn nội hấp.
3.3. Diệt trứng và sâu non triệt để
Khác với nhiều thuốc chỉ diệt được sâu trưởng thành, Cartap và Thiosultap còn có khả năng:
-
Thấm qua vỏ trứng, tiêu diệt sâu non trước khi nở.
-
Ức chế phát triển ấu trùng, cắt đứt chu kỳ phát triển của sâu.
Nhờ đó, hiệu quả phòng trừ được duy trì lâu dài và giảm đáng kể mật độ sâu thế hệ sau.
3.4. Ít gây hại thiên địch – thân thiện môi trường
Hai hoạt chất này phân hủy nhanh trong đất và nước, ít tích lũy trong mô cây, không gây ngộ độc cấp cho người và động vật có ích nếu dùng đúng liều.
So với nhóm lân hữu cơ và pyrethroid, chúng an toàn hơn cho ong mật, nhện bắt mồi, bọ rùa…, góp phần duy trì cân bằng sinh thái đồng ruộng.
4. Các sản phẩm Washiton chứa hoạt chất
Washiton đã nghiên cứu và phát triển nhiều dòng sản phẩm ứng dụng Cartap Hydrochloride và Thiosultap Sodium, giúp bà con dễ dàng lựa chọn giải pháp phù hợp cho từng loại cây trồng
4.1 LEDAN 95SP
Thành phần:
- Cartap Hydrochloride ……… 95%w/w
Hoạt chất Cartap Hydrochloride gây tê liệt hệ thần kinh của côn trùng làm ngừng ăn và chết nhanh.
Ngoài ra, hoạt chất có tính vị độc và thấm sâu nên diệt trừ cả trứng và ấu trùng giúp cắt gối lứa sâu rầy
Ledan 95 SP là thuốc trừ sâu rầy kháng thuốc với hoạt chất mới nhất Cartap Hydrochloride: 95%
- Thuốc tiêu diệt nhanh sâu rầy kháng thuốc
- Thuốc có tính nội hấp và tiếp xúc lưu dẫn cực lâu.
CÔNG DỤNG: LEDAN 95SP được sử dụng để phòng trừ rầy xanh, sâu đục thân, đục quả, bọ trĩ,…
Liều lượng: 100-200g/200 lít
4.2 LEDAN 4GR

Thành phần:
Cartap Hydrochloride ……… 4%w/w
Hoạt chất Cartap Hydrochloride gây tê liệt hệ thần kinh của côn trùng làm ngừng ăn và chết nhanh.
Ngoài ra, hoạt chất có tính vị độc và thấm sâu nên diệt trừ cả trứng và ấu trùng giúp cắt gối lứa sâu rầy
LEDAN 4GR là thuốc trừ sâu rầy kháng thuốc với hoạt chất mới nhất Cartap Hydrochloride: 4%
- Thuốc tiêu diệt nhanh sâu rầy kháng thuốc
- Thuốc có tính nội hấp và tiếp xúc lưu dẫn cực lâu.
CÔNG DỤNG: LEDAN 4GR được sử dụng để phòng trừ sâu đục thân, tuyến trùng,…
Liều lượng: 15kg – 20kg / ha
4.3 NESTROY 95WP
Thành phần:
Thiosultap-Sodium (Nereistoxin):……… 95%w/w
Thiosultap-Sodium (Nereistoxin) có tác dụng tiếp xúc vị độc, cản trở hoạt động của cơ quan cảm nhận trong tế bào thần kinh của côn trùng..
Thuốc có phổ tác động rộng diệt cả trứng sâu, trừ được nhiều loại sâu miệng chích, miệng nhai như sâu đục thân, sâu cuốn lá, sâu đục rễ, rầy, rệp, bọ trĩ,…
NESTROY 95WP là diệt trừ nhiều loại sâu hại, đảm bảo chất lượng bền vững đồng thời ức chế tình trạng kháng thuốc của sâu rầy gây hại
CÔNG DỤNG: NESTROY 95WP được sử dụng để phòng trừ rầy xanh, sâu đục thân, đục quả, bọ trĩ,…
Liều lượng: 100-200g/200 lít
Các sản phẩm:
4.4 DIỆT RẦY SỐ 1 500WP
Thành phần:
Cartap Hydrochloride……… 470g/kg
lmidacloprid………………….. 30g/kg
Hoạt chất Cartap Hydrochloride gây tê liệt hệ thần kinh của côn trùng làm ngừng ăn và chết nhanh. Imidacloprid là thuốc trừ sâu nội hấp lưu dẫn, tác động lên hệ thần kinh trung ương dẫn đến tê liệt và chết. Sau khi phun Imidacloprid, thuốc truyền đi khắp các bộ phận thân, lá, hoa và quả của cây. Côn trùng nhai hoặc chích hút nhựa cây sẽ ăn phải Imidacloprid và bị tiêu diệt.
DIỆT RẦY SỐ 1 là thuốc trừ sâu rầy kháng thuốc với hoạt chất mới nhất Cartap Hydrochloride và lmidacloprid. Thuốc tiêu diệt nhanh sâu rầy kháng thuốc. Thuốc có tính nội hấp và tiếp xúc lưu dẫn cực lâu.
CÔNG DỤNG: DIỆT RẦY SỐ 1 được sử dụng để phòng trừ RẦY XANH – BỌ PHẤN TRẮNG – NHỆN ĐỎ – BỌ TRĨ
Liều lượng: 100g/200 lít
Các sản phẩm:
4.5 NOSAU 85WP
Thành phần:
- Cartap ………………………… 75%w/w
- Imidacloprid ………………….. 10%w/w
Hoạt chất Cartap gây tê liệt hệ thần kinh của côn trùng làm ngừng ăn và chết nhanh.
Imidacloprid là thuốc trừ sâu nội hấp lưu dẫn, tác động lên hệ thần kinh trung ương dẫn đến tê liệt và chết. Sau khi phun, thuốc truyền đi khắp các bộ phận thân, lá, hoa và quả của cây. Côn trùng nhai hoặc chích hút nhựa cây sẽ ăn phải Imidacloprid và bị tiêu diệt.
NOSAU 85WP có phổ tác dụng rộng, đặc trị sâu cuốn lá trên cây lúa. Thuốc diệt được cả trứng, sâu non, và sâu trưởng thành, diệt được cả sâu miệng nhai và côn trùng chích hút nên sử dụng được trên nhiều đối tượng sâu hại. NOSAU 85WP có tính lưu dẫn nhanh nên hạn chế bị rửa trôi do mưa.
CÔNG DỤNG: NOSAU 85WP được sử dụng để phòng trừ RẦY XANH – BỌ PHẤN TRẮNG – NHỆN ĐỎ – BỌ TRĨ – Sâu cuốn lá lúa.
Liều lượng: 100g/200 lít
CÁC SẢN PHẨM:
5. Hoạt chất có độc hại không?
Cartap Hydrochloride và Thiosultap Sodium được Tổ chức Y tế Thế giới (WHO) xếp vào nhóm có độc tính trung bình, an toàn khi sử dụng đúng liều lượng khuyến cáo. Các hoạt chất này phân hủy nhanh trong môi trường, ít ảnh hưởng đến thiên địch và không tồn dư lâu dài trong nông sản.
Tuy nhiên, người sử dụng cần tuân thủ nghiêm ngặt hướng dẫn an toàn, tránh tiếp xúc trực tiếp và không pha trộn bừa bãi với các loại thuốc khác.
6. Lưu ý khi sử dụng
-
Pha đúng liều lượng theo hướng dẫn trên bao bì.
-
Mang đồ bảo hộ khi pha và phun thuốc.
-
Không phun trong điều kiện gió mạnh hoặc sắp mưa.
-
Luân phiên các nhóm hoạt chất khác nhau để tránh hiện tượng kháng thuốc.
-
Bảo quản thuốc nơi khô ráo, tránh ánh nắng trực tiếp.
KẾT LUẬN
Hai hoạt chất Cartap Hydrochloride và Thiosultap Sodium thuộc nhóm Nereistoxin là những “vũ khí” quan trọng trong công tác phòng trừ sâu hại hiện nay. Với cơ chế tác động đặc biệt lên hệ thần kinh côn trùng, hai hoạt chất này mang lại hiệu quả nhanh, phổ diệt trừ rộng và khả năng lưu dẫn mạnh, giúp bảo vệ cây trồng toàn diện từ gốc đến ngọn.
Hiểu rõ đặc tính và ứng dụng của từng hoạt chất, Washiton Company luôn tiên phong trong việc nghiên cứu – phát triển – phối hợp công thức tối ưu, mang đến cho bà con những sản phẩm thuốc trừ sâu chất lượng cao, hiệu lực bền vững và an toàn cho môi trường.
👉 Ngoài ra, bà con có thể tham khảo thêm HOẠT CHẤT PROFENOFOS – “CHIẾN BINH MẠNH MẼ” TRONG QUẢN LÝ CÔN TRÙNG GÂY HẠI
_____________________________
📞 Liên hệ ngay với Washiton Company để được tư vấn giải pháp trị rầy xanh hiệu quả nhất cho vườn của bạn.
💬 Gọi Hotline (Zalo): 0962 363 679 – 0346 467 276 hoặc để lại thông tin liên hệ – Chúng tôi sẽ hướng dẫn chi tiết, đúng bệnh, đúng thuốc, đúng liều lượng.
🌱 Washiton Company – Giải pháp nông nghiệp bền vững, nâng tầm giá trị mùa vụ!
Theo dõi Fanpage Washiton Company để cập nhật nhiều kiến thức về cây trồng!
👉 Tham gia Group Đại Lý Washiton và Group Nông Dân – Nơi kết nối nhà phân phối, đại lý và người làm nông trên khắp cả nước trong lĩnh vực thuốc bảo vệ thực vật và phân bón.











